
Вы нашли документ, содержащийся в электронной базе документов - "ТЕХЭКСПЕРТ"!
Временные методические указания по обнаружению рицида-П в воздухе методом хроматографии в тонком слое силикагеля и определению его фотометрическим методом
Данный раздел/документ содержится в продуктах:
- Техэксперт: Нормы, правила, стандарты и законодательство России
- Архив
- ГОСТ 20015-74 Хлороформ технический. Технические условия (с Изменениями N 1, 2, 3)
- СанПиН 2.3.4.545-96 Производство хлеба, хлебобулочных и кондитерских изделий
- СНиП 2.04.03-85 Канализация. Наружные сети и сооружения (с Изменением N 1)
- Указатель нормативных документов по строительству, действующих на территории Российской Федерации (по состоянию на 01.01.2011 г.)
- ГОСТ 27372-87 Люльки для строительно-монтажных работ. Технические условия
- РМ 38.14.009-94 Грузоподъемное оборудование нефтеперерабатывающих и нефтехимических предприятий. Ремонт. Часть II. Металлоконструкции грузоподъемного оборудования. Дефектация и ремонт
- ГОСТ 27372-87 Люльки для строительно-монтажных работ. Технические условия
- Указатель нормативных документов по строительству, действующих на территории Российской Федерации (по состоянию на 01.01.2011 г.)
- СНиП 2.04.03-85 Канализация. Наружные сети и сооружения (с Изменением N 1)
- Все нормы, правила, стандарты
- Изменение N 1 ТУ 14-1-4229-2007 Прутки горячекатаные с обточенной поверхностью из конструкционной легированной стали марки 07ХЗГНМЮА
- ТУ 14-1-4229-2007 Прутки горячекатаные с обточенной поверхностью из конструкционной легированной стали марки 07Х3ГНМЮА (с Изменением N 1)
- ГОСТ 27372-87 Люльки для строительно-монтажных работ. Технические условия
- РМ 38.14.009-94 Грузоподъемное оборудование нефтеперерабатывающих и нефтехимических предприятий. Ремонт. Часть II. Металлоконструкции грузоподъемного оборудования. Дефектация и ремонт
- РМ 38.14.009-94 Грузоподъемное оборудование нефтеперерабатывающих и нефтехимических предприятий. Ремонт. Часть II. Металлоконструкции грузоподъемного оборудования. Дефектация и ремонт
- ГОСТ 7565-81 (ИСО 377-2-89) Чугун, сталь и сплавы. Метод отбора проб для определения химического состава (с Изменениями N 1, 2)
- ГОСТ 12349-83 (СТ СЭВ 1507-79) Стали легированные и высоколегированные. Методы определения вольфрама (с Изменением N 1)
- Нормы, правила, стандарты и законодательство по техническому регулированию
- ТУ 14-1-4229-2007 Прутки горячекатаные с обточенной поверхностью из конструкционной легированной стали марки 07Х3ГНМЮА (с Изменением N 1)
- ГОСТ 27372-87 Люльки для строительно-монтажных работ. Технические условия
- РМ 38.14.009-94 Грузоподъемное оборудование нефтеперерабатывающих и нефтехимических предприятий. Ремонт. Часть II. Металлоконструкции грузоподъемного оборудования. Дефектация и ремонт
- ГОСТ 7565-81 (ИСО 377-2-89) Чугун, сталь и сплавы. Метод отбора проб для определения химического состава (с Изменениями N 1, 2)
- ГОСТ 12349-83 (СТ СЭВ 1507-79) Стали легированные и высоколегированные. Методы определения вольфрама (с Изменением N 1)
- Архив
- Техэксперт: Нефтегазовый комплекс
- Все нормы, правила, стандарты
- Изменение N 1 ТУ 14-1-4229-2007 Прутки горячекатаные с обточенной поверхностью из конструкционной легированной стали марки 07ХЗГНМЮА
- ТУ 14-1-4229-2007 Прутки горячекатаные с обточенной поверхностью из конструкционной легированной стали марки 07Х3ГНМЮА (с Изменением N 1)
- ГОСТ 27372-87 Люльки для строительно-монтажных работ. Технические условия
- РМ 38.14.009-94 Грузоподъемное оборудование нефтеперерабатывающих и нефтехимических предприятий. Ремонт. Часть II. Металлоконструкции грузоподъемного оборудования. Дефектация и ремонт
- РМ 38.14.009-94 Грузоподъемное оборудование нефтеперерабатывающих и нефтехимических предприятий. Ремонт. Часть II. Металлоконструкции грузоподъемного оборудования. Дефектация и ремонт
- ГОСТ 7565-81 (ИСО 377-2-89) Чугун, сталь и сплавы. Метод отбора проб для определения химического состава (с Изменениями N 1, 2)
- ГОСТ 12349-83 (СТ СЭВ 1507-79) Стали легированные и высоколегированные. Методы определения вольфрама (с Изменением N 1)
- Нормы, правила, стандарты по нефтегазовому комплексу
- РМ 38.14.009-94 Грузоподъемное оборудование нефтеперерабатывающих и нефтехимических предприятий. Ремонт. Часть II. Металлоконструкции грузоподъемного оборудования. Дефектация и ремонт
- ГОСТ 7565-81 (ИСО 377-2-89) Чугун, сталь и сплавы. Метод отбора проб для определения химического состава (с Изменениями N 1, 2)
- ГОСТ 12349-83 (СТ СЭВ 1507-79) Стали легированные и высоколегированные. Методы определения вольфрама (с Изменением N 1)
- Все нормы, правила, стандарты
- Техэксперт: Машиностроительный комплекс
- Нормы, правила, стандарты в машиностроении
- Изменение N 1 ТУ 14-1-4229-2007 Прутки горячекатаные с обточенной поверхностью из конструкционной легированной стали марки 07ХЗГНМЮА
- ТУ 14-1-4229-2007 Прутки горячекатаные с обточенной поверхностью из конструкционной легированной стали марки 07Х3ГНМЮА (с Изменением N 1)
- РМ 38.14.009-94 Грузоподъемное оборудование нефтеперерабатывающих и нефтехимических предприятий. Ремонт. Часть II. Металлоконструкции грузоподъемного оборудования. Дефектация и ремонт
- ГОСТ 7565-81 (ИСО 377-2-89) Чугун, сталь и сплавы. Метод отбора проб для определения химического состава (с Изменениями N 1, 2)
- ГОСТ 12349-83 (СТ СЭВ 1507-79) Стали легированные и высоколегированные. Методы определения вольфрама (с Изменением N 1)
- Нормы, правила, стандарты и законодательство по техническому регулированию
- ТУ 14-1-4229-2007 Прутки горячекатаные с обточенной поверхностью из конструкционной легированной стали марки 07Х3ГНМЮА (с Изменением N 1)
- ГОСТ 27372-87 Люльки для строительно-монтажных работ. Технические условия
- РМ 38.14.009-94 Грузоподъемное оборудование нефтеперерабатывающих и нефтехимических предприятий. Ремонт. Часть II. Металлоконструкции грузоподъемного оборудования. Дефектация и ремонт
- ГОСТ 7565-81 (ИСО 377-2-89) Чугун, сталь и сплавы. Метод отбора проб для определения химического состава (с Изменениями N 1, 2)
- ГОСТ 12349-83 (СТ СЭВ 1507-79) Стали легированные и высоколегированные. Методы определения вольфрама (с Изменением N 1)
- Нормы, правила, стандарты в машиностроении
- Техэксперт: Охрана труда
- Нормативные документы по охране труда
- СанПиН 2.3.4.545-96 Производство хлеба, хлебобулочных и кондитерских изделий
- СНиП 2.04.03-85 Канализация. Наружные сети и сооружения (с Изменением N 1)
- Указатель нормативных документов по строительству, действующих на территории Российской Федерации (по состоянию на 01.01.2011 г.)
- ГОСТ 27372-87 Люльки для строительно-монтажных работ. Технические условия
- РМ 38.14.009-94 Грузоподъемное оборудование нефтеперерабатывающих и нефтехимических предприятий. Ремонт. Часть II. Металлоконструкции грузоподъемного оборудования. Дефектация и ремонт
- ГОСТ 27372-87 Люльки для строительно-монтажных работ. Технические условия
- Указатель нормативных документов по строительству, действующих на территории Российской Федерации (по состоянию на 01.01.2011 г.)
- СНиП 2.04.03-85 Канализация. Наружные сети и сооружения (с Изменением N 1)
- ГОСТ 27372-87 Люльки для строительно-монтажных работ. Технические условия
- РМ 38.14.009-94 Грузоподъемное оборудование нефтеперерабатывающих и нефтехимических предприятий. Ремонт. Часть II. Металлоконструкции грузоподъемного оборудования. Дефектация и ремонт
- СанПиН 2.3.4.545-96 Производство хлеба, хлебобулочных и кондитерских изделий
- Нормативные документы по охране труда
- Техэксперт: Экология. Проф
- Система нормативов охраны и рационального использования природных ресурсов
- СанПиН 2.3.4.545-96 Производство хлеба, хлебобулочных и кондитерских изделий
- СНиП 2.04.03-85 Канализация. Наружные сети и сооружения (с Изменением N 1)
- Указатель нормативных документов по строительству, действующих на территории Российской Федерации (по состоянию на 01.01.2011 г.)
- ГОСТ 27372-87 Люльки для строительно-монтажных работ. Технические условия
- РМ 38.14.009-94 Грузоподъемное оборудование нефтеперерабатывающих и нефтехимических предприятий. Ремонт. Часть II. Металлоконструкции грузоподъемного оборудования. Дефектация и ремонт
- ГОСТ 27372-87 Люльки для строительно-монтажных работ. Технические условия
- Указатель нормативных документов по строительству, действующих на территории Российской Федерации (по состоянию на 01.01.2011 г.)
- СНиП 2.04.03-85 Канализация. Наружные сети и сооружения (с Изменением N 1)
- СанПиН 2.3.4.545-96 Производство хлеба, хлебобулочных и кондитерских изделий
- Законодательство России
- Указатель нормативных документов по строительству, действующих на территории Российской Федерации (по состоянию на 01.01.2011 г.)
- ГОСТ 27372-87 Люльки для строительно-монтажных работ. Технические условия
- РМ 38.14.009-94 Грузоподъемное оборудование нефтеперерабатывающих и нефтехимических предприятий. Ремонт. Часть II. Металлоконструкции грузоподъемного оборудования. Дефектация и ремонт
- ГОСТ 27372-87 Люльки для строительно-монтажных работ. Технические условия
- Указатель нормативных документов по строительству, действующих на территории Российской Федерации (по состоянию на 01.01.2011 г.)
- Система нормативов охраны и рационального использования природных ресурсов
- Стройэксперт. "Вариант Лидер"
- Строительное производство и проектирование (технические нормы, правила, стандарты)
- СанПиН 2.3.4.545-96 Производство хлеба, хлебобулочных и кондитерских изделий
- СНиП 2.04.03-85 Канализация. Наружные сети и сооружения (с Изменением N 1)
- Указатель нормативных документов по строительству, действующих на территории Российской Федерации (по состоянию на 01.01.2011 г.)
- ГОСТ 27372-87 Люльки для строительно-монтажных работ. Технические условия
- РМ 38.14.009-94 Грузоподъемное оборудование нефтеперерабатывающих и нефтехимических предприятий. Ремонт. Часть II. Металлоконструкции грузоподъемного оборудования. Дефектация и ремонт
- ГОСТ 27372-87 Люльки для строительно-монтажных работ. Технические условия
- Указатель нормативных документов по строительству, действующих на территории Российской Федерации (по состоянию на 01.01.2011 г.)
- СНиП 2.04.03-85 Канализация. Наружные сети и сооружения (с Изменением N 1)
- ГОСТ 27372-87 Люльки для строительно-монтажных работ. Технические условия
- РМ 38.14.009-94 Грузоподъемное оборудование нефтеперерабатывающих и нефтехимических предприятий. Ремонт. Часть II. Металлоконструкции грузоподъемного оборудования. Дефектация и ремонт
- СанПиН 2.3.4.545-96 Производство хлеба, хлебобулочных и кондитерских изделий
- Строительное производство и проектирование (технические нормы, правила, стандарты)
- Техэксперт: Помощник Проектировщика
- Строительное производство и проектирование (технические нормы, правила, стандарты)
- СанПиН 2.3.4.545-96 Производство хлеба, хлебобулочных и кондитерских изделий
- СНиП 2.04.03-85 Канализация. Наружные сети и сооружения (с Изменением N 1)
- Указатель нормативных документов по строительству, действующих на территории Российской Федерации (по состоянию на 01.01.2011 г.)
- ГОСТ 27372-87 Люльки для строительно-монтажных работ. Технические условия
- РМ 38.14.009-94 Грузоподъемное оборудование нефтеперерабатывающих и нефтехимических предприятий. Ремонт. Часть II. Металлоконструкции грузоподъемного оборудования. Дефектация и ремонт
- ГОСТ 27372-87 Люльки для строительно-монтажных работ. Технические условия
- Указатель нормативных документов по строительству, действующих на территории Российской Федерации (по состоянию на 01.01.2011 г.)
- СНиП 2.04.03-85 Канализация. Наружные сети и сооружения (с Изменением N 1)
- ГОСТ 27372-87 Люльки для строительно-монтажных работ. Технические условия
- РМ 38.14.009-94 Грузоподъемное оборудование нефтеперерабатывающих и нефтехимических предприятий. Ремонт. Часть II. Металлоконструкции грузоподъемного оборудования. Дефектация и ремонт
- СанПиН 2.3.4.545-96 Производство хлеба, хлебобулочных и кондитерских изделий
- Строительное производство и проектирование (технические нормы, правила, стандарты)
- Авиатор
- Законодательство России
- Указатель нормативных документов по строительству, действующих на территории Российской Федерации (по состоянию на 01.01.2011 г.)
- ГОСТ 27372-87 Люльки для строительно-монтажных работ. Технические условия
- РМ 38.14.009-94 Грузоподъемное оборудование нефтеперерабатывающих и нефтехимических предприятий. Ремонт. Часть II. Металлоконструкции грузоподъемного оборудования. Дефектация и ремонт
- ГОСТ 27372-87 Люльки для строительно-монтажных работ. Технические условия
- Указатель нормативных документов по строительству, действующих на территории Российской Федерации (по состоянию на 01.01.2011 г.)
- Законодательство России
- Техэксперт: Эксплуатация зданий
- Законодательство России
- Указатель нормативных документов по строительству, действующих на территории Российской Федерации (по состоянию на 01.01.2011 г.)
- ГОСТ 27372-87 Люльки для строительно-монтажных работ. Технические условия
- РМ 38.14.009-94 Грузоподъемное оборудование нефтеперерабатывающих и нефтехимических предприятий. Ремонт. Часть II. Металлоконструкции грузоподъемного оборудования. Дефектация и ремонт
- ГОСТ 27372-87 Люльки для строительно-монтажных работ. Технические условия
- Указатель нормативных документов по строительству, действующих на территории Российской Федерации (по состоянию на 01.01.2011 г.)
- Законодательство России
- Техэксперт: Электроэнергетика
- Нормы, правила, стандарты в электроэнергетике
- ГОСТ 27372-87 Люльки для строительно-монтажных работ. Технические условия
- РМ 38.14.009-94 Грузоподъемное оборудование нефтеперерабатывающих и нефтехимических предприятий. Ремонт. Часть II. Металлоконструкции грузоподъемного оборудования. Дефектация и ремонт
- ГОСТ 27372-87 Люльки для строительно-монтажных работ. Технические условия
- Нормы, правила, стандарты в электроэнергетике
- Техэксперт: Промышленная безопасность
- Нормативные документы по промышленной безопасности
- РМ 38.14.009-94 Грузоподъемное оборудование нефтеперерабатывающих и нефтехимических предприятий. Ремонт. Часть II. Металлоконструкции грузоподъемного оборудования. Дефектация и ремонт
- Нормативные документы по промышленной безопасности
УТВЕРЖДАЮ
Заместитель Главного
государственного
санитарного врача СССР
А.И.ЗАИЧЕНКО
27 апреля 1984 г. N 3005-84
ВРЕМЕННЫЕ МЕТОДИЧЕСКИЕ УКАЗАНИЯ ПО ОБНАРУЖЕНИЮ РИЦИДА-П В ВОЗДУХЕ МЕТОДОМ ХРОМАТОГРАФИИ В ТОНКОМ СЛОЕ СИЛИКАГЕЛЯ И ОПРЕДЕЛЕНИЮ ЕГО ФОТОМЕТРИЧЕСКИМ МЕТОДОМ
1. Краткая характеристика препарата
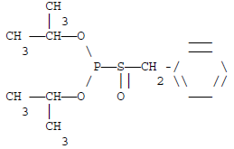
Рицид-П - O,O-диизопропил-S-бензилтиофосфат.

C |
Скачать документ нельзя - можно заказать Бесплатно! 1 документ
Документ будет отправлен на указанный Вами e-mail в течение 3 рабочих дней*
Часы работы: с Пн по Пт с 8:30 до 17:30 по московскому времени.
или
Посмотреть возможности крупнейшей электронной библиотеки "Техэксперт" - более 8 000 000 документов!



