
Вы нашли документ, содержащийся в электронной базе документов - "ТЕХЭКСПЕРТ"!
Методические указания по газохроматографическому определению дифеноконазола (скора) в растительном материале, почве, воде
Данный раздел/документ содержится в продуктах:
- Авиатор
- Техэксперт: Эксплуатация зданий
- Техэксперт: Экология. Проф
- Техэксперт: Нормы, правила, стандарты и законодательство России
- Техэксперт: Нефтегазовый комплекс
МЕТОДИЧЕСКИЕ УКАЗАНИЯ ПО ГАЗОХРОМАТОГРАФИЧЕСКОМУ ОПРЕДЕЛЕНИЮ ДИФЕНОКОНАЗОЛА (СКОРА) В РАСТИТЕЛЬНОМ МАТЕРИАЛЕ, ПОЧВЕ, ВОДЕ
УТВЕРЖДЕНО
МИНИСТЕРСТВОМ ЗДРАВООХРАНЕНИЯ СССР 29 июля 1991 г. N 6147-91
Разработчики: Морару Л.Е., Гиренко Д.Б., ВНИИГИНТОКС, г.Киев.
1. Краткая характеристика препарата
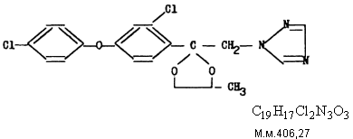
Дифеноконазол (скор)-1-{2-/4-хлорфенокси)-2-хлорфенил-(4-метил-1,3-диоксолан-2-ил)-метил/}-1Н-1,2,4-триазол
Скачать документ нельзя - можно заказать Бесплатно! 1 документ
Документ будет отправлен на указанный Вами e-mail в течение 3 рабочих дней*
Часы работы: с Пн по Пт с 8:30 до 17:30 по московскому времени.
или
Посмотреть возможности крупнейшей электронной библиотеки "Техэксперт" - более 8 000 000 документов!



