
Вы нашли документ, содержащийся в электронной базе документов - "ТЕХЭКСПЕРТ"!
МУК 4.1.1834-04 Методические указания по определению остаточных количеств тебуконазола в семенах и масле подсолнечника методом газожидкостной хроматографии
Данный раздел/документ содержится в продуктах:
- Авиатор
- Техэксперт: Эксплуатация зданий
- Техэксперт: Экология. Проф
- Техэксперт: Нормы, правила, стандарты и законодательство России
- Техэксперт: Нефтегазовый комплекс
МУК 4.1.1834-04
МЕТОДИЧЕСКИЕ УКАЗАНИЯ ПО ОПРЕДЕЛЕНИЮ ОСТАТОЧНЫХ КОЛИЧЕСТВ ТЕБУКОНАЗОЛА В СЕМЕНАХ И МАСЛЕ ПОДСОЛНЕЧНИКА МЕТОДОМ ГАЗОЖИДКОСТНОЙ ХРОМАТОГРАФИИ
Дата введения 2004-05-01
УТВЕРЖДАЮ
Главный государственный санитарный врач РФ, Первый зам. Министра здравоохранения РФ Г.Г.Онищенко 13.02.2004 г.
1. Вводная часть
Фирма производитель: Август
Торговое наименование: ВИАЛ-ТТ, Бункер, Колосаль.
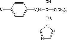
Действующее вещество: тебуконазол (ISO).
Структурная формула:
Скачать документ нельзя - можно заказать Бесплатно! 1 документ
Документ будет отправлен на указанный Вами e-mail в течение 3 рабочих дней*
Часы работы: с Пн по Пт с 8:30 до 17:30 по московскому времени.
или
Посмотреть возможности крупнейшей электронной библиотеки "Техэксперт" - более 8 000 000 документов!



