
Вы нашли документ, содержащийся в электронной базе документов - "ТЕХЭКСПЕРТ"!
МУК 4.1.1975-05 Определение остаточных количеств метсульфурон-метила в семенах, масле и соломке льна методом высокоэффективной жидкостной хроматографии
Данный раздел/документ содержится в продуктах:
- Авиатор
- Техэксперт: Эксплуатация зданий
- Техэксперт: Экология. Проф
- Техэксперт: Нормы, правила, стандарты и законодательство России
- Техэксперт: Нефтегазовый комплекс
- Техэксперт: Машиностроительный комплекс
МУК 4.1.1975-05
МЕТОДИЧЕСКИЕ УКАЗАНИЯ
4.1. МЕТОДЫ КОНТРОЛЯ. ХИМИЧЕСКИЕ ФАКТОРЫ
Определение остаточных количеств метсульфурон-метила в семенах,
масле и соломке льна методом высокоэффективной
жидкостной хроматографии
Дата введения 2005-07-01
УТВЕРЖДЕНЫ руководителем Федеральной службы по надзору в сфере защиты прав потребителей и благополучия человека, Главным государственным санитарным врачом Российской Федерации Г.Г.Онищенко 21 апреля 2005 г.
1. Вводная часть
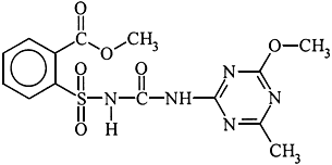
Действующее вещество: метсульфурон-метил.
Структурная формула:
Скачать документ нельзя - можно заказать Бесплатно! 1 документ
Документ будет отправлен на указанный Вами e-mail в течение 3 рабочих дней*
Часы работы: с Пн по Пт с 8:30 до 17:30 по московскому времени.
или
Посмотреть возможности крупнейшей электронной библиотеки "Техэксперт" - более 8 000 000 документов!



