0 продуктов

Авторизация

 

Вы нашли документ, содержащийся в электронной базе документов - "ТЕХЭКСПЕРТ"!

МУК 4.1.934-99 Методические указания по измерению концентрации 9-фтор-11,16,17,22-тетрагидроксипрег-1,4-диен-3,20-дион ацетонида (триамцинолона ацетонида) в воздухе рабочей зоны методом высокоэффективной жидкостной хроматографии

Список продуктов
Данный раздел/документ содержится в продуктах:


     МУК 4.1.934-99



4.1. МЕТОДЫ КОНТРОЛЯ. ХИМИЧЕСКИЕ ФАКТОРЫ

МЕТОДИЧЕСКИЕ УКАЗАНИЯ
по измерению концентрации 9-фтор-11,16,17,22-тетрагидроксипрег-1,4-
диен-3,20-дион ацетонида (триамцинолона ацетонида) в воздухе рабочей зоны
методом высокоэффективной жидкостной хроматографии

     
     
Дата введения: с момента утверждения

УТВЕРЖДЕНЫ Главным государственным санитарным врачом Российской Федерации Г.Г.Онищенко 30.12.1999 г.












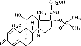
М.м. 434,5

           

Триамцинолон ацетонид -  белый или кремовый кристаллический порошок без запаха с температурой плавления 280-290 °С. Хорошо растворим в абсолютном этаноле и метаноле, ограниченно растворим в этаноле 1:150, ацетоне 1:11, хлороформе 1:40, нерастворим в воде.

Скачать документ нельзя - можно заказать Бесплатно! 1 документ 

Документ будет отправлен на указанный Вами e-mail в течение 3 рабочих дней* 

Часы работы: с Пн по Пт с 8:30 до 17:30 по московскому времени.

или

Посмотреть возможности крупнейшей электронной библиотеки "Техэксперт" - более 8 000 000 документов!

Форма заказа

Вы можете заказать БЕСПЛАТНУЮ демонстрацию систем "Техэксперт", заполнив следующую форму:

Наименование компании:*


Город, Область:*


ФИО, должность обратившегося:*


Контактный телефон:*

()

 В формате: (495) 679-84-86

E-mail:*


Поля, помеченные звездочкой (*), обязательны для заполнения


! После демонстрации Вы получите бесплатный доступ к базе данных «Информационный указатель стандартов» или к информационному каналу «Реформа технического регулирования», куда включены не только новые технические регламенты, но также их проекты - предстоящие изменения в области технического регулирования. Ни в одной другой базе данных этого нет!
Подписка на полную версию «Указателя стандартов» через ФГУП «Стандартинформ» стоит 20 000 рублей.
При заказе демонстрации Вы получите доступ к его электронной версии совершенно бесплатно!

Форма заказа

Наименование компании:*


Регион:


Город:*


ФИО, должность обратившегося:*


Контактный телефон:*

()

 В формате: (495) 679-84-86

E-mail:*


Название документа:


Поля, помеченные звездочкой (*), обязательны для заполнения

Если карточка заполнена некорректно или предоставлены заведомо неправильные сведения - документ бесплатно не предоставляется.

Код с картинки:



  


Категории продуктов

 

 

 

Знакомьтесь, "Техэксперт"

 Техэксперт для iPad

 Для Android

АКЦИЯ!

Бесплатный доступ