
Вы нашли документ, содержащийся в электронной базе документов - "ТЕХЭКСПЕРТ"!
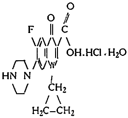
МУК 4.1.1610-03 Методические указания по измерению концентрации ципрофлоксацина гидрохлорида моногидрата в воздухе рабочей зоны методом высокоэффективной жидкостной хроматографии
Данный раздел/документ содержится в продуктах:
- Техэксперт: Нормы, правила, стандарты и законодательство России
- Нормы, правила, стандарты и законодательство по техническому регулированию
- ПНД Ф 13.1.65-08 Методика измерений массовой концентрации полихлорированных дибензо-п-диоксинов и дибензофуранов в промышленных выбросах в атмосферу методом хромато-масс-спектрометрии
- ПНД Ф 14.1:2:4.251-08 Количественный химический анализ вод. Методика измерений массовой концентрации полихлорированных дибензо-п-диоксинов и дибензофуранов в пробах питьевых, поверхностных природных и очищенных сточных вод методом хромато-масс-спектрометрии
- ГОСТ 19908-80 Тигли, чаши, стаканы, колбы, воронки, пробирки и пробки из прозрачного кварцевого стекла. Технические условия (с Изменением N 1)
- ПНД Ф 14.1:2:4.146-99 Количественный химический анализ вод. Методика измерений массовой концентрации цианидов токсичных в пробах природных, питьевых и сточных вод фотометрическим методом на анализаторе жидкости "Флюорат-02" (Издание 2013 года)
- ПНД Ф 14.1:2:4.181-02 Методика выполнения измерений массовых концентраций алюминия в пробах природных, питьевых и сточных вод флуориметрическим методом на анализаторе жидкости "Флюорат-02" (Издание 2010 года)
- ГОСТ 29227-91 (ИСО 835-1-81) Посуда лабораторная стеклянная. Пипетки градуированные. Часть 1. Общие требования
- Все нормы, правила, стандарты
- Нормы, правила, стандарты и законодательство по техническому регулированию
- Техэксперт: Машиностроительный комплекс
- Нормы, правила, стандарты и законодательство по техническому регулированию
- ПНД Ф 13.1.65-08 Методика измерений массовой концентрации полихлорированных дибензо-п-диоксинов и дибензофуранов в промышленных выбросах в атмосферу методом хромато-масс-спектрометрии
- ПНД Ф 14.1:2:4.251-08 Количественный химический анализ вод. Методика измерений массовой концентрации полихлорированных дибензо-п-диоксинов и дибензофуранов в пробах питьевых, поверхностных природных и очищенных сточных вод методом хромато-масс-спектрометрии
- ГОСТ 19908-80 Тигли, чаши, стаканы, колбы, воронки, пробирки и пробки из прозрачного кварцевого стекла. Технические условия (с Изменением N 1)
- ПНД Ф 14.1:2:4.146-99 Количественный химический анализ вод. Методика измерений массовой концентрации цианидов токсичных в пробах природных, питьевых и сточных вод фотометрическим методом на анализаторе жидкости "Флюорат-02" (Издание 2013 года)
- ПНД Ф 14.1:2:4.181-02 Методика выполнения измерений массовых концентраций алюминия в пробах природных, питьевых и сточных вод флуориметрическим методом на анализаторе жидкости "Флюорат-02" (Издание 2010 года)
- ГОСТ 29227-91 (ИСО 835-1-81) Посуда лабораторная стеклянная. Пипетки градуированные. Часть 1. Общие требования
- Нормы, правила, стандарты в машиностроении
- Нормы, правила, стандарты и законодательство по техническому регулированию
- Техэксперт: Нефтегазовый комплекс
- Все нормы, правила, стандарты
- Нормы, правила, стандарты по нефтегазовому комплексу
- Техэксперт: Охрана труда
- Авиатор
- Техэксперт: Эксплуатация зданий
- Техэксперт: Экология. Проф
МУК 4.1.1610-03
4.1. МЕТОДЫ КОНТРОЛЯ. ХИМИЧЕСКИЕ ФАКТОРЫ
МЕТОДИЧЕСКИЕ УКАЗАНИЯ
по измерению концентрации ципрофлоксацина
гидрохлорида моногидрата в воздухе рабочей зоны методом
высокоэффективной жидкостной хроматографии
Дата введения: с момента утверждения
УТВЕРЖДЕНЫ Первым заместителем Министра здравоохранения Российской Федерации, Главным государственным санитарным врачом Российской Федерации Г.Г.Онищенко 29 июня 2003 г.
|
|
Скачать документ нельзя - можно заказать Бесплатно! 1 документ
Документ будет отправлен на указанный Вами e-mail в течение 3 рабочих дней*
Часы работы: с Пн по Пт с 8:30 до 17:30 по московскому времени.
или
Посмотреть возможности крупнейшей электронной библиотеки "Техэксперт" - более 8 000 000 документов!



