
Вы нашли документ, содержащийся в электронной базе документов - "ТЕХЭКСПЕРТ"!
МУК 4.1.815-99 Методические указания по измерению концентраций дибиомицина в воздухе рабочей зоны методом высокоэффективной жидкостной хроматографии
Данный раздел/документ содержится в продуктах:
- Техэксперт: Нормы, правила, стандарты и законодательство России
- Нормы, правила, стандарты и законодательство по техническому регулированию
- ПНД Ф 13.1.65-08 Методика измерений массовой концентрации полихлорированных дибензо-п-диоксинов и дибензофуранов в промышленных выбросах в атмосферу методом хромато-масс-спектрометрии
- ПНД Ф 14.1:2:4.251-08 Количественный химический анализ вод. Методика измерений массовой концентрации полихлорированных дибензо-п-диоксинов и дибензофуранов в пробах питьевых, поверхностных природных и очищенных сточных вод методом хромато-масс-спектрометрии
- ГОСТ 19908-80 Тигли, чаши, стаканы, колбы, воронки, пробирки и пробки из прозрачного кварцевого стекла. Технические условия (с Изменением N 1)
- ПНД Ф 14.1:2:4.146-99 Количественный химический анализ вод. Методика измерений массовой концентрации цианидов токсичных в пробах природных, питьевых и сточных вод фотометрическим методом на анализаторе жидкости "Флюорат-02" (Издание 2013 года)
- ПНД Ф 14.1:2:4.181-02 Методика выполнения измерений массовых концентраций алюминия в пробах природных, питьевых и сточных вод флуориметрическим методом на анализаторе жидкости "Флюорат-02" (Издание 2010 года)
- ГОСТ 29227-91 (ИСО 835-1-81) Посуда лабораторная стеклянная. Пипетки градуированные. Часть 1. Общие требования
- Все нормы, правила, стандарты
- Нормы, правила, стандарты и законодательство по техническому регулированию
- Техэксперт: Машиностроительный комплекс
- Нормы, правила, стандарты и законодательство по техническому регулированию
- ПНД Ф 13.1.65-08 Методика измерений массовой концентрации полихлорированных дибензо-п-диоксинов и дибензофуранов в промышленных выбросах в атмосферу методом хромато-масс-спектрометрии
- ПНД Ф 14.1:2:4.251-08 Количественный химический анализ вод. Методика измерений массовой концентрации полихлорированных дибензо-п-диоксинов и дибензофуранов в пробах питьевых, поверхностных природных и очищенных сточных вод методом хромато-масс-спектрометрии
- ГОСТ 19908-80 Тигли, чаши, стаканы, колбы, воронки, пробирки и пробки из прозрачного кварцевого стекла. Технические условия (с Изменением N 1)
- ПНД Ф 14.1:2:4.146-99 Количественный химический анализ вод. Методика измерений массовой концентрации цианидов токсичных в пробах природных, питьевых и сточных вод фотометрическим методом на анализаторе жидкости "Флюорат-02" (Издание 2013 года)
- ПНД Ф 14.1:2:4.181-02 Методика выполнения измерений массовых концентраций алюминия в пробах природных, питьевых и сточных вод флуориметрическим методом на анализаторе жидкости "Флюорат-02" (Издание 2010 года)
- ГОСТ 29227-91 (ИСО 835-1-81) Посуда лабораторная стеклянная. Пипетки градуированные. Часть 1. Общие требования
- Нормы, правила, стандарты в машиностроении
- Нормы, правила, стандарты и законодательство по техническому регулированию
- Техэксперт: Нефтегазовый комплекс
- Все нормы, правила, стандарты
- Нормы, правила, стандарты по нефтегазовому комплексу
- Техэксперт: Охрана труда
- Авиатор
- Техэксперт: Эксплуатация зданий
- Техэксперт: Экология. Проф
МУК 4.1.815-99
4.1. МЕТОДЫ КОНТРОЛЯ. ХИМИЧЕСКИЕ ФАКТОРЫ
МЕТОДИЧЕСКИЕ УКАЗАНИЯ
по измерению концентраций ДИБИОМИЦИНА в воздухе рабочей зоны
методом высокоэффективной жидкостной хроматографии
Дата введения: с момента утверждения
УТВЕРЖДЕНЫ Главным государственным санитарным врачом Российской Федерации Г.Г.Онищенко 30.12.1999 г.
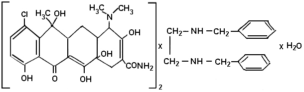
М.м. 1216,1
Дибиомицин - {N,N'-дибензилэтилендиаминовая соль хлортетрациклина, или 7-хлор-4-(диметиламино)- 1,4,4а,5,5а,6,11,12-октагидро-3,6,10,12а-пентагидрокси-6-метил-1,11-диоксо-2-нафтаненкарбоксамид, соединение с N,N'-бис-(фенилметил)-1,2-этандиамином (2:1)} - кристаллическое вещество светло- коричневого цвета. Растворим в водных растворах минеральных кислот и фосфатных буферах с рН выше 7,2. Мало растворим в воде. рН насыщенного раствора 6,0-7,0. Нерастворим в этиловом и метиловом спиртах. Ограниченно растворим в ацетонитриле. Нерастворим в эфире и хлороформе. Разлагается при нагревании свыше 100 °С. |
Скачать документ нельзя - можно заказать Бесплатно! 1 документ
Документ будет отправлен на указанный Вами e-mail в течение 3 рабочих дней*
Часы работы: с Пн по Пт с 8:30 до 17:30 по московскому времени.
или
Посмотреть возможности крупнейшей электронной библиотеки "Техэксперт" - более 8 000 000 документов!



