
Вы нашли документ, содержащийся в электронной базе документов - "ТЕХЭКСПЕРТ"!
МУК 4.1.811-99 Методические указания по измерению концентраций бикарфена основания в воздухе рабочей зоны методом высокоэффективной жидкостной хроматографии
Данный раздел/документ содержится в продуктах:
- Техэксперт: Охрана труда
- Техэксперт: Экология. Проф
- Техэксперт: Нормы, правила, стандарты и законодательство России
- Нормы, правила, стандарты и законодательство по техническому регулированию
- Все нормы, правила, стандарты
- Техэксперт: Машиностроительный комплекс
- Нормы, правила, стандарты и законодательство по техническому регулированию
- Техэксперт: Нефтегазовый комплекс
МУК 4.1.811-99
4.1. МЕТОДЫ КОНТРОЛЯ. ХИМИЧЕСКИЕ ФАКТОРЫ
МЕТОДИЧЕСКИЕ УКАЗАНИЯ
по измерению концентраций бикарфена основания в воздухе рабочей зоны
методом высокоэффективной жидкостной хроматографии
Дата введения: с момента утверждения
УТВЕРЖДЕНЫ Главным государственным санитарным врачом Российской Федерации Г.Г.Онищенко 30.12.1999 г.
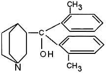
М.м. 321,47
Бикарфена основание - кристаллическое вещество серого цвета. Хорошо растворим в ацетонитриле, этиловом и метиловом спиртах. Плохо растворим в воде.
В воздухе находится в виде аэрозоля.
Скачать документ нельзя - можно заказать Бесплатно! 1 документ
Документ будет отправлен на указанный Вами e-mail в течение 3 рабочих дней*
Часы работы: с Пн по Пт с 8:30 до 17:30 по московскому времени.
или
Посмотреть возможности крупнейшей электронной библиотеки "Техэксперт" - более 8 000 000 документов!



