
Вы нашли документ, содержащийся в электронной базе документов - "ТЕХЭКСПЕРТ"!
Методические указания по измерению концентраций хардина в воздухе рабочей зоны методом тонкослойной хроматографии
Данный раздел/документ содержится в продуктах:
- Техэксперт: Охрана труда
- Нормативные документы по охране труда
- Методические указания по измерению концентраций вредных веществ в воздухе рабочей зоны. Выпуск 21/1
- Методические указания по фотометрическому измерению концентраций алкилпропилендиамина в воздухе рабочей зоны
- Методика анализа результатов аттестации рабочих мест на травмобезопасность (по хозяйству перевозок)
- СанПиН 2.2.0.555-96 Гигиенические требования к условиям труда женщин
- О санитарно-эпидемиологическом благополучии населения (с изменениями на 21 июля 1998 года) (утратил силу с 6 апреля 1999 года на основании Федерального закона от 30.03.99 N 52-ФЗ)
- О новых нормах предельно допустимых нагрузок для женщин при подъеме и перемещении тяжестей вручную
- Нормативные документы по охране труда
- Техэксперт: Нормы, правила, стандарты и законодательство России
- Все нормы, правила, стандарты
- Методические указания по измерению концентраций вредных веществ в воздухе рабочей зоны. Выпуск 21/1
- Методические указания по фотометрическому измерению концентраций алкилпропилендиамина в воздухе рабочей зоны
- СанПиН 2.2.0.555-96 Гигиенические требования к условиям труда женщин
- Методика анализа результатов аттестации рабочих мест на травмобезопасность (по хозяйству перевозок)
- Архив
- СанПиН 2.1.4.027-95 Зоны санитарной охраны источников водоснабжения и водопроводов хозяйственно-питьевого назначения
- О санитарно-эпидемиологическом благополучии населения (с изменениями на 21 июля 1998 года) (утратил силу с 6 апреля 1999 года на основании Федерального закона от 30.03.99 N 52-ФЗ)
- СанПиН 2.1.4.027-95 Зоны санитарной охраны источников водоснабжения и водопроводов хозяйственно-питьевого назначения
- Нормы, правила, стандарты и законодательство по техническому регулированию
- Всё законодательство России
- Все нормы, правила, стандарты
- Техэксперт: Нефтегазовый комплекс
- Все нормы, правила, стандарты
- Методические указания по измерению концентраций вредных веществ в воздухе рабочей зоны. Выпуск 21/1
- Методические указания по фотометрическому измерению концентраций алкилпропилендиамина в воздухе рабочей зоны
- СанПиН 2.2.0.555-96 Гигиенические требования к условиям труда женщин
- Методика анализа результатов аттестации рабочих мест на травмобезопасность (по хозяйству перевозок)
- Всё законодательство России
- Все нормы, правила, стандарты
- Техэксперт: Экология. Проф
- Система нормативов охраны и рационального использования природных ресурсов
- Законодательство России
- О санитарно-эпидемиологическом благополучии населения (с изменениями на 21 июля 1998 года) (утратил силу с 6 апреля 1999 года на основании Федерального закона от 30.03.99 N 52-ФЗ)
- О новых нормах предельно допустимых нагрузок для женщин при подъеме и перемещении тяжестей вручную
- Стройэксперт. "Вариант Лидер"
- Строительное производство и проектирование (технические нормы, правила, стандарты)
- СанПиН 2.1.4.027-95 Зоны санитарной охраны источников водоснабжения и водопроводов хозяйственно-питьевого назначения
- О санитарно-эпидемиологическом благополучии населения (с изменениями на 21 июля 1998 года) (утратил силу с 6 апреля 1999 года на основании Федерального закона от 30.03.99 N 52-ФЗ)
- СанПиН 2.2.0.555-96 Гигиенические требования к условиям труда женщин
- СанПиН 2.1.4.027-95 Зоны санитарной охраны источников водоснабжения и водопроводов хозяйственно-питьевого назначения
- Строительное производство и проектирование (технические нормы, правила, стандарты)
- Техэксперт: Помощник Проектировщика
- Строительное производство и проектирование (технические нормы, правила, стандарты)
- СанПиН 2.1.4.027-95 Зоны санитарной охраны источников водоснабжения и водопроводов хозяйственно-питьевого назначения
- О санитарно-эпидемиологическом благополучии населения (с изменениями на 21 июля 1998 года) (утратил силу с 6 апреля 1999 года на основании Федерального закона от 30.03.99 N 52-ФЗ)
- СанПиН 2.2.0.555-96 Гигиенические требования к условиям труда женщин
- СанПиН 2.1.4.027-95 Зоны санитарной охраны источников водоснабжения и водопроводов хозяйственно-питьевого назначения
- Строительное производство и проектирование (технические нормы, правила, стандарты)
- Авиатор
- Законодательство России
- О санитарно-эпидемиологическом благополучии населения (с изменениями на 21 июля 1998 года) (утратил силу с 6 апреля 1999 года на основании Федерального закона от 30.03.99 N 52-ФЗ)
- О новых нормах предельно допустимых нагрузок для женщин при подъеме и перемещении тяжестей вручную
- Законодательство России
- Техэксперт: Эксплуатация зданий
- Законодательство России
- О санитарно-эпидемиологическом благополучии населения (с изменениями на 21 июля 1998 года) (утратил силу с 6 апреля 1999 года на основании Федерального закона от 30.03.99 N 52-ФЗ)
- О новых нормах предельно допустимых нагрузок для женщин при подъеме и перемещении тяжестей вручную
- Законодательство России
- Техэксперт: Машиностроительный комплекс
- Нормы, правила, стандарты и законодательство по техническому регулированию
- Техэксперт: Электроэнергетика
- Нормы, правила, стандарты в электроэнергетике
МЕТОДИЧЕСКИЕ УКАЗАНИЯ
ПО ИЗМЕРЕНИЮ КОНЦЕНТРАЦИЙ ХАРДИНА В ВОЗДУХЕ
РАБОЧЕЙ ЗОНЫ МЕТОДОМ ТОНКОСЛОЙНОЙ ХРОМАТОГРАФИИ
УТВЕРЖДЕНЫ Заместителем Главного государственного санитарного врача СССР А.И.Заиченко 25 мая 1987 г. N 4316-87
|
|
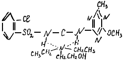
Действующее начало хардина - комплекс диэтилэтаноламина и N-(2-хлорбензолсульфонил)-N-(6-метокси-4-метил-1,3,5-триазин-2-ил) мочевины. Плотность препарата при 20 °С - 1115-1125 кг/м, температура кристаллизации - 50 °С, хорошо растворим в воде, полярных растворителях, нелетуч, в водных растворах устойчив в течение года, при разбавлении водой на свету при рН=5-7 и 20 °С, разлагается на 2-хлорбензолсульфамид, 6-метокси-4-амино-2-метил-1,3,5-триазин и диэтилэтаноламин.
Скачать документ нельзя - можно заказать Бесплатно! 1 документ
Документ будет отправлен на указанный Вами e-mail в течение 3 рабочих дней*
Часы работы: с Пн по Пт с 8:30 до 17:30 по московскому времени.
или
Посмотреть возможности крупнейшей электронной библиотеки "Техэксперт" - более 8 000 000 документов!



