
Вы нашли документ, содержащийся в электронной базе документов - "ТЕХЭКСПЕРТ"!
Методические указания по фотометрическому измерению концентраций окситетрациклина в воздухе рабочей зоны
Данный раздел/документ содержится в продуктах:
- Техэксперт: Охрана труда
- Техэксперт: Нормы, правила, стандарты и законодательство России
- Техэксперт: Нефтегазовый комплекс
- Техэксперт: Экология. Проф
МЕТОДИЧЕСКИЕ УКАЗАНИЯ
ПО ФОТОМЕТРИЧЕСКОМУ ИЗМЕРЕНИЮ КОНЦЕНТРАЦИЙ
ОКСИТЕТРАЦИКЛИНА В ВОЗДУХЕ РАБОЧЕЙ ЗОНЫ
УТВЕРЖДЕНЫ Заместителем Главного государственного санитарного врача СССР М.И.Наркевич 10 сентября 1991 г. N 5849-91
|
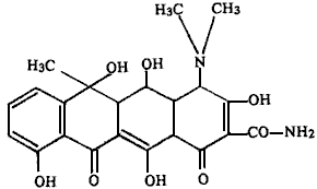
М.м. 459,44 |
5-окситетрациклин - желтый кристаллический порошок без запаха, горького вкуса. Устойчив в слабокислой среде, легко разрушается в растворах щелочей. Раствор в воде при стоянии становится мутным вследствие выпадения основания. При хранении на свету темнеет. Растворим в воде и трудно растворим в 95%-ном спирте. В воздухе находится в виде аэрозоля.
Скачать документ нельзя - можно заказать Бесплатно! 1 документ
Документ будет отправлен на указанный Вами e-mail в течение 3 рабочих дней*
Часы работы: с Пн по Пт с 8:30 до 17:30 по московскому времени.
или
Посмотреть возможности крупнейшей электронной библиотеки "Техэксперт" - более 8 000 000 документов!



