
Вы нашли документ, содержащийся в электронной базе документов - "ТЕХЭКСПЕРТ"!
Методические указания по фотометрическому измерению концентраций кофеина в воздухе рабочей зоны
Данный раздел/документ содержится в продуктах:
- Техэксперт: Охрана труда
- Техэксперт: Нормы, правила, стандарты и законодательство России
- Техэксперт: Нефтегазовый комплекс
- Техэксперт: Экология. Проф
МЕТОДИЧЕСКИЕ УКАЗАНИЯ
ПО ФОТОМЕТРИЧЕСКОМУ ИЗМЕРЕНИЮ КОНЦЕНТРАЦИЙ
КОФЕИНА В ВОЗДУХЕ РАБОЧЕЙ ЗОНЫ
УТВЕРЖДЕНЫ Заместителем Главного государственного санитарного врача СССР М.И.Наркевич 10 сентября 1991 г. N 5835-91
|
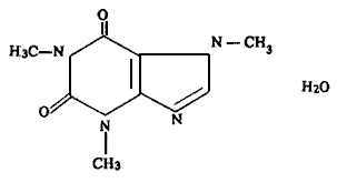
М.м. 212,21
|
Кофеин - белые игольчатые кристаллы, слабо горького вкуса, на воздухе выветриваются. Хорошо растворимы в горячей воде и хлороформе, трудно в холодной воде, бензоле, спирте. Очень мало растворимы в эфире. Т.пл. (безв.) 236,5 °С. Относится к II классу опасности. Действует возбуждающе на Ц.Н.С., в частности на головной мозг.
Скачать документ нельзя - можно заказать Бесплатно! 1 документ
Документ будет отправлен на указанный Вами e-mail в течение 3 рабочих дней*
Часы работы: с Пн по Пт с 8:30 до 17:30 по московскому времени.
или
Посмотреть возможности крупнейшей электронной библиотеки "Техэксперт" - более 8 000 000 документов!



