
Вы нашли документ, содержащийся в электронной базе документов - "ТЕХЭКСПЕРТ"!
Методические указания по спектрофотометрическому измерению концентрации прометрина в воздухе рабочей зоны
Данный раздел/документ содержится в продуктах:
- Техэксперт: Охрана труда
- Нормативные документы по охране труда
- Методические указания по измерению концентрации вредных веществ в воздухе рабочей зоны (Переработанные и дополненные методические указания, Выпуск 12)
- Методические указания по фотометрическому измерению концентраций аминопеларгоновой кислоты в воздухе рабочей зоны
- Об утверждении Положения о порядке проведения аттестации рабочих мест по условиям труда на предприятиях железнодорожного транспорта (не применяется на основании приказа Минтранса России от 01.12.2016 N 369)
- СанПиН 2.2.0.555-96 Гигиенические требования к условиям труда женщин
- О новых нормах предельно допустимых нагрузок для женщин при подъеме и перемещении тяжестей вручную
- О санитарно-эпидемиологическом благополучии населения (с изменениями на 21 июля 1998 года) (утратил силу с 6 апреля 1999 года на основании Федерального закона от 30.03.99 N 52-ФЗ)
- СанПиН 2.2.0.555-96 Гигиенические требования к условиям труда женщин
- О новых нормах предельно допустимых нагрузок для женщин при подъеме и перемещении тяжестей вручную
- СанПиН 2.2.0.555-96 Гигиенические требования к условиям труда женщин
- О новых нормах предельно допустимых нагрузок для женщин при подъеме и перемещении тяжестей вручную
- Нормативные документы по охране труда
- Техэксперт: Нормы, правила, стандарты и законодательство России
- Все нормы, правила, стандарты
- Методические указания по измерению концентрации вредных веществ в воздухе рабочей зоны (Переработанные и дополненные методические указания, Выпуск 12)
- Методические указания по фотометрическому измерению концентраций аминопеларгоновой кислоты в воздухе рабочей зоны
- СанПиН 2.2.0.555-96 Гигиенические требования к условиям труда женщин
- О новых нормах предельно допустимых нагрузок для женщин при подъеме и перемещении тяжестей вручную
- Архив
- СанПиН 2.1.4.027-95 Зоны санитарной охраны источников водоснабжения и водопроводов хозяйственно-питьевого назначения
- О санитарно-эпидемиологическом благополучии населения (с изменениями на 21 июля 1998 года) (утратил силу с 6 апреля 1999 года на основании Федерального закона от 30.03.99 N 52-ФЗ)
- СанПиН 2.2.0.555-96 Гигиенические требования к условиям труда женщин
- О новых нормах предельно допустимых нагрузок для женщин при подъеме и перемещении тяжестей вручную
- СанПиН 2.2.0.555-96 Гигиенические требования к условиям труда женщин
- О санитарно-эпидемиологическом благополучии населения (с изменениями на 21 июля 1998 года) (утратил силу с 6 апреля 1999 года на основании Федерального закона от 30.03.99 N 52-ФЗ)
- Об утверждении Положения о порядке проведения аттестации рабочих мест по условиям труда на предприятиях железнодорожного транспорта (не применяется на основании приказа Минтранса России от 01.12.2016 N 369)
- СанПиН 2.1.4.027-95 Зоны санитарной охраны источников водоснабжения и водопроводов хозяйственно-питьевого назначения
- Нормы, правила, стандарты и законодательство по техническому регулированию
- СанПиН 2.2.0.555-96 Гигиенические требования к условиям труда женщин
- О новых нормах предельно допустимых нагрузок для женщин при подъеме и перемещении тяжестей вручную
- СанПиН 2.2.0.555-96 Гигиенические требования к условиям труда женщин
- Всё законодательство России
- О новых нормах предельно допустимых нагрузок для женщин при подъеме и перемещении тяжестей вручную
- Все нормы, правила, стандарты
- Техэксперт: Нефтегазовый комплекс
- Все нормы, правила, стандарты
- Методические указания по измерению концентрации вредных веществ в воздухе рабочей зоны (Переработанные и дополненные методические указания, Выпуск 12)
- Методические указания по фотометрическому измерению концентраций аминопеларгоновой кислоты в воздухе рабочей зоны
- СанПиН 2.2.0.555-96 Гигиенические требования к условиям труда женщин
- О новых нормах предельно допустимых нагрузок для женщин при подъеме и перемещении тяжестей вручную
- Всё законодательство России
- О новых нормах предельно допустимых нагрузок для женщин при подъеме и перемещении тяжестей вручную
- Все нормы, правила, стандарты
- Техэксперт: Экология. Проф
- Система нормативов охраны и рационального использования природных ресурсов
- Законодательство России
- Об утверждении Положения о порядке проведения аттестации рабочих мест по условиям труда на предприятиях железнодорожного транспорта (не применяется на основании приказа Минтранса России от 01.12.2016 N 369)
- О санитарно-эпидемиологическом благополучии населения (с изменениями на 21 июля 1998 года) (утратил силу с 6 апреля 1999 года на основании Федерального закона от 30.03.99 N 52-ФЗ)
- СанПиН 2.2.0.555-96 Гигиенические требования к условиям труда женщин
- О новых нормах предельно допустимых нагрузок для женщин при подъеме и перемещении тяжестей вручную
- СанПиН 2.2.0.555-96 Гигиенические требования к условиям труда женщин
- О новых нормах предельно допустимых нагрузок для женщин при подъеме и перемещении тяжестей вручную
- Авиатор
- Законодательство России
- Об утверждении Положения о порядке проведения аттестации рабочих мест по условиям труда на предприятиях железнодорожного транспорта (не применяется на основании приказа Минтранса России от 01.12.2016 N 369)
- О санитарно-эпидемиологическом благополучии населения (с изменениями на 21 июля 1998 года) (утратил силу с 6 апреля 1999 года на основании Федерального закона от 30.03.99 N 52-ФЗ)
- СанПиН 2.2.0.555-96 Гигиенические требования к условиям труда женщин
- О новых нормах предельно допустимых нагрузок для женщин при подъеме и перемещении тяжестей вручную
- СанПиН 2.2.0.555-96 Гигиенические требования к условиям труда женщин
- О новых нормах предельно допустимых нагрузок для женщин при подъеме и перемещении тяжестей вручную
- Законодательство России
- Техэксперт: Эксплуатация зданий
- Законодательство России
- Об утверждении Положения о порядке проведения аттестации рабочих мест по условиям труда на предприятиях железнодорожного транспорта (не применяется на основании приказа Минтранса России от 01.12.2016 N 369)
- О санитарно-эпидемиологическом благополучии населения (с изменениями на 21 июля 1998 года) (утратил силу с 6 апреля 1999 года на основании Федерального закона от 30.03.99 N 52-ФЗ)
- СанПиН 2.2.0.555-96 Гигиенические требования к условиям труда женщин
- О новых нормах предельно допустимых нагрузок для женщин при подъеме и перемещении тяжестей вручную
- СанПиН 2.2.0.555-96 Гигиенические требования к условиям труда женщин
- О новых нормах предельно допустимых нагрузок для женщин при подъеме и перемещении тяжестей вручную
- Законодательство России
- Стройэксперт. "Вариант Лидер"
- Строительное производство и проектирование (технические нормы, правила, стандарты)
- СанПиН 2.1.4.027-95 Зоны санитарной охраны источников водоснабжения и водопроводов хозяйственно-питьевого назначения
- О санитарно-эпидемиологическом благополучии населения (с изменениями на 21 июля 1998 года) (утратил силу с 6 апреля 1999 года на основании Федерального закона от 30.03.99 N 52-ФЗ)
- СанПиН 2.2.0.555-96 Гигиенические требования к условиям труда женщин
- О новых нормах предельно допустимых нагрузок для женщин при подъеме и перемещении тяжестей вручную
- СанПиН 2.2.0.555-96 Гигиенические требования к условиям труда женщин
- О санитарно-эпидемиологическом благополучии населения (с изменениями на 21 июля 1998 года) (утратил силу с 6 апреля 1999 года на основании Федерального закона от 30.03.99 N 52-ФЗ)
- СанПиН 2.2.0.555-96 Гигиенические требования к условиям труда женщин
- О новых нормах предельно допустимых нагрузок для женщин при подъеме и перемещении тяжестей вручную
- СанПиН 2.1.4.027-95 Зоны санитарной охраны источников водоснабжения и водопроводов хозяйственно-питьевого назначения
- Строительное производство и проектирование (технические нормы, правила, стандарты)
- Техэксперт: Помощник Проектировщика
- Строительное производство и проектирование (технические нормы, правила, стандарты)
- СанПиН 2.1.4.027-95 Зоны санитарной охраны источников водоснабжения и водопроводов хозяйственно-питьевого назначения
- О санитарно-эпидемиологическом благополучии населения (с изменениями на 21 июля 1998 года) (утратил силу с 6 апреля 1999 года на основании Федерального закона от 30.03.99 N 52-ФЗ)
- СанПиН 2.2.0.555-96 Гигиенические требования к условиям труда женщин
- О новых нормах предельно допустимых нагрузок для женщин при подъеме и перемещении тяжестей вручную
- СанПиН 2.2.0.555-96 Гигиенические требования к условиям труда женщин
- О санитарно-эпидемиологическом благополучии населения (с изменениями на 21 июля 1998 года) (утратил силу с 6 апреля 1999 года на основании Федерального закона от 30.03.99 N 52-ФЗ)
- СанПиН 2.2.0.555-96 Гигиенические требования к условиям труда женщин
- О новых нормах предельно допустимых нагрузок для женщин при подъеме и перемещении тяжестей вручную
- СанПиН 2.1.4.027-95 Зоны санитарной охраны источников водоснабжения и водопроводов хозяйственно-питьевого назначения
- Строительное производство и проектирование (технические нормы, правила, стандарты)
- Техэксперт: Машиностроительный комплекс
- Нормы, правила, стандарты и законодательство по техническому регулированию
- СанПиН 2.2.0.555-96 Гигиенические требования к условиям труда женщин
- О новых нормах предельно допустимых нагрузок для женщин при подъеме и перемещении тяжестей вручную
- СанПиН 2.2.0.555-96 Гигиенические требования к условиям труда женщин
- Нормы, правила, стандарты и законодательство по техническому регулированию
- Техэксперт: Электроэнергетика
- Нормы, правила, стандарты в электроэнергетике
- СанПиН 2.2.0.555-96 Гигиенические требования к условиям труда женщин
- О новых нормах предельно допустимых нагрузок для женщин при подъеме и перемещении тяжестей вручную
- СанПиН 2.2.0.555-96 Гигиенические требования к условиям труда женщин
- Нормы, правила, стандарты в электроэнергетике
МЕТОДИЧЕСКИЕ УКАЗАНИЯ
по спектрофотометрическому измерению концентрации прометрина
в воздухе рабочей зоны
УТВЕРЖДЕНЫ Заместителем Главного государственного санитарного врача СССР М.И.Наркевичем 10 сентября 1991 г. N 5911-91
|
|
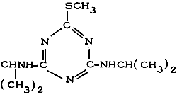
2-Метилтио-4,6-бис-(изопропиламино)-симмитриазин (прометрин)
Прометрин - белое кристаллическое вещество, Тпл. 118-120 °С. Растворимость в воде 48 мг/л (20 °С). Хорошо растворим в большинстве органических растворителей.
Скачать документ нельзя - можно заказать Бесплатно! 1 документ
Документ будет отправлен на указанный Вами e-mail в течение 3 рабочих дней*
Часы работы: с Пн по Пт с 8:30 до 17:30 по московскому времени.
или
Посмотреть возможности крупнейшей электронной библиотеки "Техэксперт" - более 8 000 000 документов!



