
Вы нашли документ, содержащийся в электронной базе документов - "ТЕХЭКСПЕРТ"!
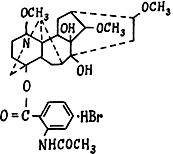
Методические указания по спектрофотометрическому измерению концентраций аллапинина в воздухе рабочей зоны
Список продуктов
Данный раздел/документ содержится в продуктах:
Данный раздел/документ содержится в продуктах:
- Техэксперт: Нормы, правила, стандарты и законодательство России
- Техэксперт: Нефтегазовый комплекс
- Техэксперт: Экология. Проф
- Техэксперт: Охрана труда
- Авиатор
- Техэксперт: Эксплуатация зданий
МЕТОДИЧЕСКИЕ УКАЗАНИЯ
по спектрофотометрическому измерению концентраций аллапинина
в воздухе рабочей зоны
УТВЕРЖДЕНЫ Заместителем Главного государственного санитарного врача СССР В.И.Чибураевым 28 сентября 1989 г. N 5062-89
|
|
|
|
C |
Скачать документ нельзя - можно заказать Бесплатно! 1 документ
Документ будет отправлен на указанный Вами e-mail в течение 3 рабочих дней*
Часы работы: с Пн по Пт с 8:30 до 17:30 по московскому времени.
или
Посмотреть возможности крупнейшей электронной библиотеки "Техэксперт" - более 8 000 000 документов!
Подписка на полную версию «Указателя стандартов» через ФГУП «Стандартинформ» стоит 20 000 рублей.
При заказе демонстрации Вы получите доступ к его электронной версии совершенно бесплатно!



