
Вы нашли документ, содержащийся в электронной базе документов - "ТЕХЭКСПЕРТ"!
Методические указания на спектрофотометрическое определение тилозина в воздухе
Данный раздел/документ содержится в продуктах:
- Техэксперт: Охрана труда
- Техэксперт: Экология. Проф
- Техэксперт: Нормы, правила, стандарты и законодательство России
- Нормы, правила, стандарты и законодательство по техническому регулированию
- Все нормы, правила, стандарты
- Техэксперт: Машиностроительный комплекс
- Нормы, правила, стандарты и законодательство по техническому регулированию
- Техэксперт: Нефтегазовый комплекс
МЕТОДИЧЕСКИЕ УКАЗАНИЯ
НА СПЕКТРОФОТОМЕТРИЧЕСКОЕ ОПРЕДЕЛЕНИЕ ТИЛОЗИНА В ВОЗДУХЕ
УТВЕРЖДЕНЫ заместителем Главного государственного санитарного врача СССР А.И.Заиченко, 23 сентября 1980 года N 2244-80
|
|
|
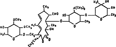
М.м. 930 |
Антибиотик тилозин (тилозин основание) является макролидом, молекула которого состоит из тилонолидного кольца и сахаров мукаминозы, мукарозы и мукинозы.
Суммарная формула СН
О
, температура плавления 128-132 °С. Тилозин применяется в виде солей: тилозин-фосфат, тилозин-тартрат и др.
Скачать документ нельзя - можно заказать Бесплатно! 1 документ
Документ будет отправлен на указанный Вами e-mail в течение 3 рабочих дней*
Часы работы: с Пн по Пт с 8:30 до 17:30 по московскому времени.
или
Посмотреть возможности крупнейшей электронной библиотеки "Техэксперт" - более 8 000 000 документов!



