
Вы нашли документ, содержащийся в электронной базе документов - "ТЕХЭКСПЕРТ"!
Методические указания по флуориметрическому измерению концентраций 3-(1-фенил-2-ацетил-этил) 4-оксикумарина (зоокумарина) в воздухе рабочей зоны
Данный раздел/документ содержится в продуктах:
- Техэксперт: Охрана труда
- Техэксперт: Экология. Проф
- Техэксперт: Нормы, правила, стандарты и законодательство России
- Нормы, правила, стандарты и законодательство по техническому регулированию
- Все нормы, правила, стандарты
- Техэксперт: Машиностроительный комплекс
- Нормы, правила, стандарты и законодательство по техническому регулированию
- Техэксперт: Нефтегазовый комплекс
МЕТОДИЧЕСКИЕ УКАЗАНИЯ
по флуориметрическому измерению концентрации
3-(1-фенил-2-ацетил-этил) 4-оксикумарина (зоокумарина)
в воздухе рабочей зоны
УТВЕРЖДЕНО Заместителем Главного государственного санитарного врача СССР А.И.Заиченко 12 декабря 1988 г. N 4819-88
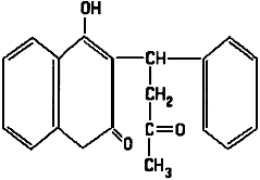
CH
O
М.м. 308,2
Зоокумарин - белый с сероватым оттенком кристаллической порошок, температура плавления 160 °C. Растворим в хлороформе, диметилформамиде, в этиловом спирте, плохо растворим в воде. В воздухе находится в виде аэрозоля.
Скачать документ нельзя - можно заказать Бесплатно! 1 документ
Документ будет отправлен на указанный Вами e-mail в течение 3 рабочих дней*
Часы работы: с Пн по Пт с 8:30 до 17:30 по московскому времени.
или
Посмотреть возможности крупнейшей электронной библиотеки "Техэксперт" - более 8 000 000 документов!



