
Вы нашли документ, содержащийся в электронной базе документов - "ТЕХЭКСПЕРТ"!
МУК 4.1.257-96 Фотометрическое измерение концентраций тетракарбамидохлората кальция дигидрата "Хает" в воздухе рабочей зоны
Данный раздел/документ содержится в продуктах:
- Техэксперт: Охрана труда
- Нормативные документы по охране труда
- Измерение концентраций вредных веществ в воздухе рабочей зоны. Сборник методических указаний МУК 4.1.198-4.1.271-96. Выпуск 30
- О действующих методических документах по методам контроля химических веществ в объектах окружающей среды, воздухе рабочей зоны, пищевых продуктах
- О введении в действие ГН 2.1.6.1338-03 (с изменениями на 30 августа 2016 года) ГН 2.1.6.1338-03 Предельно допустимые концентрации (ПДК) загрязняющих веществ в атмосферном воздухе населенных мест
- Нормативные документы по охране труда
- Техэксперт: Нормы, правила, стандарты и законодательство России
- Все нормы, правила, стандарты
- Измерение концентраций вредных веществ в воздухе рабочей зоны. Сборник методических указаний МУК 4.1.198-4.1.271-96. Выпуск 30
- О введении в действие ГН 2.1.6.1338-03 (с изменениями на 30 августа 2016 года) ГН 2.1.6.1338-03 Предельно допустимые концентрации (ПДК) загрязняющих веществ в атмосферном воздухе населенных мест
- Нормы, правила, стандарты и законодательство по техническому регулированию
- Всё законодательство России
- Все нормы, правила, стандарты
- Техэксперт: Нефтегазовый комплекс
- Все нормы, правила, стандарты
- Измерение концентраций вредных веществ в воздухе рабочей зоны. Сборник методических указаний МУК 4.1.198-4.1.271-96. Выпуск 30
- О введении в действие ГН 2.1.6.1338-03 (с изменениями на 30 августа 2016 года) ГН 2.1.6.1338-03 Предельно допустимые концентрации (ПДК) загрязняющих веществ в атмосферном воздухе населенных мест
- Всё законодательство России
- Все нормы, правила, стандарты
- Техэксперт: Экология. Проф
- Авиатор
- Техэксперт: Эксплуатация зданий
- Техэксперт: Машиностроительный комплекс
- Техэксперт: Электроэнергетика
- Стройэксперт. "Вариант Лидер"
- Основы правового регулирования в строительстве
- Строительное производство и проектирование (технические нормы, правила, стандарты)
- Техэксперт: Ценообразование и сметное дело в строительстве
- Техэксперт: Помощник Проектировщика
- Основы правового регулирования в строительстве
- Строительное производство и проектирование (технические нормы, правила, стандарты)
- Техэксперт: Дорожное строительство
- Техэксперт: Промышленная безопасность
МУК 4.1.257-96
4.1. МЕТОДЫ КОНТРОЛЯ. ХИМИЧЕСКИЕ ФАКТОРЫ
Фотометрическое измерение концентраций тетракарбамидохлората кальция
дигидрата "Хает" в воздухе рабочей среды
Дата введения - с момента утверждения
УТВЕРЖДЕНЫ и.о. Председателя Госкомсанэпиднадзора России - заместителем Главного государственного санитарного врача Российской Федерации Г.Г.Онищенко 8 июня 1996 года
М. м. 83
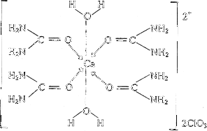
Са(СlO)
·4СО(NH
)
·2H
О - тетракарбамидохлорат кальция дигидрат (диакватетракарбамидохлорат кальция) - "Хает" - кристаллы белого цвета. Удельная масса - 1,88 г/см
. Не летуч, без запаха.
- 155 °С, при нагревании до 290 °С разлагается.
Скачать документ нельзя - можно заказать Бесплатно! 1 документ
Документ будет отправлен на указанный Вами e-mail в течение 3 рабочих дней*
Часы работы: с Пн по Пт с 8:30 до 17:30 по московскому времени.
или
Посмотреть возможности крупнейшей электронной библиотеки "Техэксперт" - более 8 000 000 документов!



