
Вы нашли документ, содержащийся в электронной базе документов - "ТЕХЭКСПЕРТ"!
МУК 4.1.0.463-96 Спектрофотометрическое измерение концентраций этилового эфира ди-(4-оксикумаринил-3)-уксусной кислоты (неодикумарин) в воздухе рабочей зоны
Данный раздел/документ содержится в продуктах:
- Техэксперт: Охрана труда
- Техэксперт: Экология. Проф
- Стройэксперт. "Вариант Лидер"
- Техэксперт: Помощник Проектировщика
- Техэксперт: Нормы, правила, стандарты и законодательство России
- Нормы, правила, стандарты и законодательство по техническому регулированию
- Все нормы, правила, стандарты
- Техэксперт: Машиностроительный комплекс
- Нормы, правила, стандарты и законодательство по техническому регулированию
- Техэксперт: Нефтегазовый комплекс
МУК 4.1.0.463-96
4.1 МЕТОДЫ КОНТРОЛЯ. ХИМИЧЕСКИЕ ФАКТОРЫ
Спектрофотометрическое измерение концентраций этилового эфира ди-(4-оксикумаринил-3)-уксусной кислоты (неодикумарин)
в воздухе рабочей зоны
Дата введения: с момента утверждения
РАЗРАБОТАНЫ НИХФИ, г.Новокузнецк.
УТВЕРЖДЕНЫ Председателем Госкомсанэпиднадзора России Главным государственным санитарным врачом Российской Федерации Е.Н.Беляевым 8 июня 1996 г.
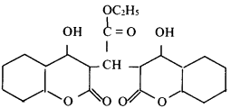
М.м. 408,4
Неодикумарин - белый или белый со слегка кремоватым оттенком мелкокристаллический порошок без запаха, очень мало растворим в воде, трудно растворим в ацетоне, мало растворим в этиловом спирте (1:105) и эфире. Т - 175-178 °С.
Скачать документ нельзя - можно заказать Бесплатно! 1 документ
Документ будет отправлен на указанный Вами e-mail в течение 3 рабочих дней*
Часы работы: с Пн по Пт с 8:30 до 17:30 по московскому времени.
или
Посмотреть возможности крупнейшей электронной библиотеки "Техэксперт" - более 8 000 000 документов!



