
Вы нашли документ, содержащийся в электронной базе документов - "ТЕХЭКСПЕРТ"!
МУК 4.1.0.444-96 Спектрометрическое измерение концентраций натриевой соли поливинилтетразола (натрий ПВТ) в воздухе рабочей зоны
Данный раздел/документ содержится в продуктах:
- Техэксперт: Охрана труда
- Нормативные документы по охране труда
- Измерение концентраций вредных веществ в воздухе рабочей зоны. Сборник методических указаний МУК 4.1.0.406-4.1.0.465-96. Выпуск 33
- О действующих методических документах по методам контроля химических веществ в объектах окружающей среды, воздухе рабочей зоны, пищевых продуктах
- О введении в действие ГН 2.1.6.1338-03 (с изменениями на 30 августа 2016 года) ГН 2.1.6.1338-03 Предельно допустимые концентрации (ПДК) загрязняющих веществ в атмосферном воздухе населенных мест
- Нормативные документы по охране труда
- Техэксперт: Нормы, правила, стандарты и законодательство России
- Все нормы, правила, стандарты
- Измерение концентраций вредных веществ в воздухе рабочей зоны. Сборник методических указаний МУК 4.1.0.406-4.1.0.465-96. Выпуск 33
- О введении в действие ГН 2.1.6.1338-03 (с изменениями на 30 августа 2016 года) ГН 2.1.6.1338-03 Предельно допустимые концентрации (ПДК) загрязняющих веществ в атмосферном воздухе населенных мест
- Нормы, правила, стандарты и законодательство по техническому регулированию
- Всё законодательство России
- Все нормы, правила, стандарты
- Техэксперт: Нефтегазовый комплекс
- Все нормы, правила, стандарты
- Измерение концентраций вредных веществ в воздухе рабочей зоны. Сборник методических указаний МУК 4.1.0.406-4.1.0.465-96. Выпуск 33
- О введении в действие ГН 2.1.6.1338-03 (с изменениями на 30 августа 2016 года) ГН 2.1.6.1338-03 Предельно допустимые концентрации (ПДК) загрязняющих веществ в атмосферном воздухе населенных мест
- Всё законодательство России
- Все нормы, правила, стандарты
- Техэксперт: Экология. Проф
- Стройэксперт. "Вариант Лидер"
- Строительное производство и проектирование (технические нормы, правила, стандарты)
- Измерение концентраций вредных веществ в воздухе рабочей зоны. Сборник методических указаний МУК 4.1.0.406-4.1.0.465-96. Выпуск 33
- О введении в действие ГН 2.1.6.1338-03 (с изменениями на 30 августа 2016 года) ГН 2.1.6.1338-03 Предельно допустимые концентрации (ПДК) загрязняющих веществ в атмосферном воздухе населенных мест
- Основы правового регулирования в строительстве
- Строительное производство и проектирование (технические нормы, правила, стандарты)
- Техэксперт: Помощник Проектировщика
- Строительное производство и проектирование (технические нормы, правила, стандарты)
- Измерение концентраций вредных веществ в воздухе рабочей зоны. Сборник методических указаний МУК 4.1.0.406-4.1.0.465-96. Выпуск 33
- О введении в действие ГН 2.1.6.1338-03 (с изменениями на 30 августа 2016 года) ГН 2.1.6.1338-03 Предельно допустимые концентрации (ПДК) загрязняющих веществ в атмосферном воздухе населенных мест
- Основы правового регулирования в строительстве
- Строительное производство и проектирование (технические нормы, правила, стандарты)
- Авиатор
- Техэксперт: Эксплуатация зданий
- Техэксперт: Машиностроительный комплекс
- Техэксперт: Электроэнергетика
- Техэксперт: Ценообразование и сметное дело в строительстве
- Техэксперт: Дорожное строительство
- Техэксперт: Промышленная безопасность
МУК 4.1.0.444-96
4.1. МЕТОДЫ КОНТРОЛЯ. ХИМИЧЕСКИЕ ФАКТОРЫ
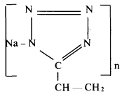
Спектрометрическое измерение концентраций натриевой соли
поливинилтетразола (натрий ПВТ) в воздухе рабочей зоны
Дата введения: с момента утверждения
РАЗРАБОТАНЫ НИИХФИ, г.Новокузнецк.
УТВЕРЖДЕНЫ Председателем Госкомсанэпиднадзора России Главным государственным санитарным врачом Российской Федерации Е.Н.Беляевым 8 июня 1996 г.
М.м. 100-200 тыс.
Раствор натрия ПВТ применяется в качестве связующего в азотгенерирующих композициях. В воде представляет собой вязкую жидкость коричневого цвета.
В воздухе находится в виде аэрозоля.
Скачать документ нельзя - можно заказать Бесплатно! 1 документ
Документ будет отправлен на указанный Вами e-mail в течение 3 рабочих дней*
Часы работы: с Пн по Пт с 8:30 до 17:30 по московскому времени.
или
Посмотреть возможности крупнейшей электронной библиотеки "Техэксперт" - более 8 000 000 документов!



